BIOCIDAS
C. Pradera, Barcelona, 08-06-2013
.
A.- NÚMERO DE REGISTRO DE PRODUCTOS BIOCIDAS PARA SANIDAD AMBIENTAL
1. Registro década de 1940 hasta 1964.
Los productos insecticidas y raticidas para uso por el público en general tenían una secuencia formada por cuatro números para su identificación. En un envase de INSECTICIDA CUCHOL de la empresa Insecticidas Cóndor S.A. de finales de la década de 1940 se puede leer esto: “Registrado en la Dirección General de Sanidad con el E. N. 7.803, el 23-11-46.” El número de registro va seguido de la fecha de autorización.
Los productos protectores de la madera quedaban bajo el control del Servicio de Plagas Forestales del Ministerio de Agricultura. Este ministerio reguló los productos fitosanitarios mediante el ‘Decreto de 19 de septiembre de 1942 sobre fabricación y comercio de insecticidas anticriptogamicidas y material de aplicación’, publicado en Boletín Oficial del Estado, núm. 296, de 23 octubre 1942.
2. Registros según Orden de 7 de enero de 1964.
En 1964 el Ministerio de la Gobernación emitió la ‘Orden de 7 de enero de 1964 por la que se regulan los insecticidas domésticos y los raticidas’, publicada Boletín Oficial del Estado, núm. 25, de 29 de enero de 1964. Mediante esta norma se regularon los insecticidas y raticidas domésticos. Los productos eran registrados mediante una secuencia de números seguidos de letras. La Dirección General de Sanidad expedía un número por orden de llegada y autorización a un producto. Tras el número, se añadía una de las siguientes iniciales formadas por tres letras: RAT (raticida), INS (insecticida), DES (desinfectante).
En un envase del insecticida BRÚSTER CUCARACHA de Industrias Orgánicas Gomis SA de la década de 1960 se lee esto: «Reg. D.G. S. nº 318 INS». Hacia la década de 1980, el ente responsable del registro de plaguicidas de uso ambiental es de la Dirección General de Farmacia y Productos Sanitarios (DGF y PS). En un envase del insecticida BAYGON VERDE de Bayer aparece esto: «Nº Registro D.G.F.P.S. 252-Ins».
3. Registro según el Real Decreto 3349/1983.
A principios de la década de 1990 fue creado el ‘Registro de plaguicidas no agrícolas’ dependiente de la Dirección General de Salud Pública y Consumo al desarrollarse la aplicación del R.D. 3349/193. Se creó un número para identificar los productos plaguicidas autorizados con la idea de que fuera informativo para el usuario. Fue creado un identificador alfanumérico con la siguiente estructura: XX-YY-ZZZZZ(-R)(-HA). El significado de cada secuencia de números y letras es la siguiente:
XX. Dos números que corresponden con las dos últimas cifras del año en el que se ha inscrito el producto. Cada cinco años un producto debe renovar su inscripción en el registro, a no ser que las autoridades sanitarias obliguen a revisar su autorización antes dependiendo de nuevos conocimientos científicos. Cuando el producto reciba una nueva autorización, se cambiarán actualizarán las dos cifras para que coincidan con las del año de renovación.
YY. Dos cifras del código de clasificación que indica el uso del producto. Es fijo para cada producto, según la siguiente lista: 00 (ingrediente activo técnico, IAT), 10 (rodenticida), 20 (desinfectante), 30 (insecticida) 40 (fungicida) 50 (otros como repelentes, atrayentes, etc.), 60 (alguicida), 80 (protectores de la madera), 90 (viricida), 100 (desinfectante para torres de refrigeración).
ZZZZZ. Número de producto por orden ascendente según ha sido inscrito en el registro. Es fijo para cada producto y empieza con 00001 que es el del primer producto registrado.
HA. Producto autorizado para uso en la industria alimentaria, el cual tan solo puede ser aplicado por personal especializado.
R. En etiquetas antiguas se puede observar que algunos números de registros llevan una R al final que significa reclasificado. Esto es porque se trata de productos que estaban anteriormente inscritos en Registro de la Dirección General de Farmacia y Productos Sanitarios (RDGF y PS). Al ser renovada su vigencia en el nuevo registro se les añade una R al final. El período de registro es de tres años. Al renovar la inscripción pierden la R.
4. Registro según el Real Decreto 1054/2002.
A partir de la década de 2000, fue puesto en funcionamiento el ‘Registro de biocidas’ a partir de la aplicación del Real Decreto 1054/2002 que transponía la Directiva 98/8/CE relativa a la comercialización de biocidas. Para este registro fue creado un identificador alfanumérico con la siguiente estructura: AA/BB XX-YY-ZZZZZ. El significado de cada secuencia de números y letras es la siguiente:
AA. Dos letras que indican el país donde está registrado el producto. A España le corresponden las letras ES.
BB. Dos letras que corresponden al procedimiento de inscripción. Estas pueden ser AA (procedimiento de autorización/registro para productos nuevos que son registrados por primera vez en un estado y que no lo están en ningún otro de la Comunidad Europea) o RM (procedimiento de reconocimiento mutuo por el cual un estado inscribe un producto que está registrado en otro estado de la Comunidad Europea).
XX. Dos números que corresponden con las dos últimas cifras del año en el que se ha inscrito el producto. Cada cinco años un producto debe renovar su inscripción en el registro de biocidas, a no ser que las autoridades sanitarias obliguen a revisar su autorización antes dependiendo de nuevos conocimientos científicos. Cuando el producto reciba una nueva autorización, se cambiarán actualizarán las dos cifras para que coincidan con las del año de renovación.
YY. Dos cifras del código de clasificación que indica el uso del producto según a clasificación de biocidas en Tipos de Productos publicada en la Directiva 98/8/CE del 16 de febrero de 1998.
ZZZZZ. Número de producto por orden ascendente según ha sido inscrito en el registro. Es fijo para cada producto y empieza con 00001 que es el del primer producto registrado.
.
B.- CLASIFICACIÓN DE BIOCIDAS SEGÚN EL ANEXO V DEL REGLAMENTO 520/2012
La Directiva 98/8/CE, relativa a la comercialización de biocidas, creó los 23 tipos de productos (TP) en los que se clasifican las materias activas usadas como biocidas para sanidad ambiental. Posteriormente, fue actualizada esta directiva mediante el Reglamento No 528/2012, relativo a la comercialización y el uso de los biocidas, que redujo su número a 22. Estos tipos de producto (TP) se encuentran clasificados en cuatro grupos principales.
GRUPO PRINCIPAL 1 – DESINFECTANTES
Estos tipos de biocidas excluyen los biocidas de limpieza que no persiguen un efecto biocida, incluidos los detergentes líquidos y en polvo y productos similares.
Tipo de producto 1 (TP1) Higiene humana. Los productos de este grupo son los biocidas empleados con fines de higiene humana, que se aplican sobre la piel o el cuero cabelludo o en contacto con ellos, con la finalidad principal de desinfectar la piel o el cuero cabelludo.
Tipo de producto 2 (TP2) Desinfectantes y alguicidas no destinados a la aplicación directa a personas o animales. Productos empleados para la desinfección de superficies, materiales, equipos y muebles que no se utilizan en contacto directo con alimentos o piensos. Los ámbitos de utilización incluyen, entre otros, las piscinas, acuarios, aguas de baño y otras; los sistemas de aire acondicionado, y las paredes y suelos de lugares privados o públicos, zonas industriales y otras zonas destinadas a actividades profesionales. Productos utilizados para la desinfección del aire, el agua no destinada al consumo humano o animal, retretes químicos, aguas residuales, desechos de hospitales y tierra. Productos utilizados como alguicidas para el tratamiento de piscinas, acuarios y otras aguas y para el tratamiento reparador de materiales de construcción. Productos destinados a ser incorporados en textiles, tejidos, mascarillas, pinturas y otros artículos o materiales con el fin de obtener artículos tratados con propiedades desinfectantes.
Tipo de producto 3 (TP3) Higiene veterinaria. Productos empleados con fines de higiene veterinaria, como los desinfectantes, jabones desinfectantes, productos de higiene bucal o corporal o con funciones antimicrobianas. Productos utilizados para la desinfección de materiales y superficies relacionados con el alojamiento o transporte de animales.
Tipo de producto 4 (TP4) Alimentos y piensos. Productos empleados en la desinfección de equipos, recipientes, utensilios para consumo, superficies o tuberías relacionados con la producción, transporte, almacenamiento o consumo de alimentos o piensos (incluida el agua potable) para personas y animales. Productos empleados para impregnar materiales que puedan estar en contacto con alimentos.
Tipo de producto 5 (TP5) Agua potable. Productos empleados para la desinfección del agua potable, tanto para personas como para animales.
GRUPO PRINCIPAL 2 – CONSERVANTES
Salvo que se indique lo contrario, este tipo de productos solo abarca los destinados a prevenir el crecimiento de microbios y algas.
Tipo de producto 6 (TP6) Conservantes para productos durante su almacenamiento. Productos empleados para la conservación de productos manufacturados que no sean alimentos, piensos, productos cosméticos o medicinales ni productos sanitarios, mediante el control del deterioro microbiano con el fin de prolongar su vida útil. Productos empleados como conservantes para el almacenamiento o utilización de cebos rodenticidas, insecticidas o de otro tipo.
Tipo de producto 7 (TP7) Conservantes para películas.
Tipo de producto 8 (TP8) Protectores para madera. Productos empleados para la protección de la madera, desde la fase del aserradero inclusive, o los productos derivados de la madera, mediante el control de los organismos que destruyen o alteran la madera, incluidos los insectos. Se incluyen en este tipo de producto tanto los de carácter preventivo como curativo.
Tipo de producto 9 (TP9) Protectores de fibras, cuero, caucho y materiales polimerizados.
Tipo de producto 10 (TP10) Conservantes de materiales de construcción.
Tipo de producto 11 (TP11) Protectores para líquidos utilizados en sistemas de refrigeración y en procesos industriales. Productos empleados para la conservación del agua u otros líquidos utilizados en sistemas de refrigeración y en procesos industriales mediante el control de los organismos nocivos como microbios, algas y mejillones.
Tipo de producto 12 (TP12) Protectores antimoho.
Tipo de producto 13 (TP13) Protectoresde líquidos empleados para trabajar o cortar materiales.
GRUPO PRINCIPAL 3 – PLAGUICIDAS
Tipo de producto 14 (TP14) Rodenticidas. Productos empleados para el control de los ratones, ratas u otros roedores, por medios distintos de la repulsión o la atracción.
Tipo de producto 15 (TP15) Avicidas. Productos empleados para el control de las aves, por medios distintos de la repulsión o la atracción.
Tipo de producto 16 (TP16) Molusquicidas, vermicidas y productos para controlar otros invertebrados. Productos empleados para el control de moluscos, gusanos e invertebrados no cubiertos por otros tipos de producto, por medios distintos de la repulsión o la atracción.
Tipo de producto 17 (TP17) Piscicidas. Productos empleados para el control de los peces, por medios distintos de la repulsión o la atracción.
Tipo de producto 18 (TP18) Insecticidas, acaricidas y productos para controlar otros artrópodos. Productos empleados para el control de los artrópodos (por ejemplo, insectos, arácnidos y crustáceos), por medios distintos de la repulsión o la atracción.
Tipo de producto 19 (TP19) Repelentes y atrayentes. Productos empleados para el control de los organismos nocivos (invertebrados como las pulgas; vertebrados como las aves, peces, roedores), mediante repulsión o atracción, incluidos los que se utilizan para la higiene veterinaria o humana, ya sea directamente sobre la piel o indirectamente en el entorno de las personas o animales.
Tipo de producto 20 (TP20) Control de otros animales vertebrados. Productos empleados para el control de vertebrados distintos de los cubiertos por los demás tipos de producto de este grupo principal, por medios distintos de la repulsión o la atracción.
GRUPO PRINCIPAL 4 – OTROS BIOCIDAS
Tipo de producto 21 (TP21) Productos antiincrustantes.
Tipo de producto 22 (TP22) Líquidos para embalsamamiento y taxidermia.
.
C.- CLASIFICACIÓN DE MATERIAS ACTIVAS POR FAMILIAS
Clasificación por grupos de materias activas usadas como biocidas para el control de plagas urbanas, tanto en el presente como en el pasado. Esta lista no es definitiva y está en proceso de revisión y de ampliación.
1. RODENTICIDAS
1.1 RODENTICIDAS NO ANTICOAGULANTES
1.1.1 Rodenticidas inorgánicos
Trióxido de arsénico (arsénico blanco, descrito en 1669), pentóxido de arsénico, acetoarsenito de cobre (verde de París), sulfato de calcio (secular), fósforo amarillo (secular), fosfuro de zinc (XIX), sulfato de talio (1930), carbonato de bario, clorato de sodio.
1.1.2 Rodenticidas orgánicos de origen botánico
Escila roja (s. XIII), eléboro (secular), estricnina (s. XVII).
1.1.3 Bacterias
Salmonella sp (1890s, Instituo Pasteur de París).
1.1.4 Rodenticidas orgánicos sintéticos
Castrix (crimidina, 194?), alfa-naftiltiourea (ANTU, 1945), norbomida (1964), alfacloralosa, colecalciferol (1970s), ergocalciferol (1970s en UK), brometalina (1980), monofluoracetato de sodio (compuesto 1080, 1942), fluoracetamida (compuesto 1081, 194?), pirinurón (piriminil, 1975 US Patent), alfaclorhidrina (esterilizante), fosacetim (gophacide), silatrano (silatrane), gliftor, reserpina
1.1.5 Insecticidas orgánicos usados como rodenticidas
DDT (1939, polvo de pista, 10 a 50%), lindano (1942, polvo de pista, 50%), dieldrín (1948, pulverización), endrín (1951, espolvoreo y pulverización).
1.2 RODENTICIDAS ANTICOAGULANTES
Karl Paul Link y colaboradores de la Universidad de Wisconsin empezaron a investigar a mediados de la década de 1930 la sustancia causante de la enfermedad en el ganado vacuno producida por el trébol dulce. En 1940 sinterizaron el dicumarol, el primer compuesto anticoagulante. Y a partir de aquí desarrolló la warfarina.
1.2.1 Warfarinas
Primeros compuestos anticoagulantes desarrollados a partir del descubrimiento de la 4-hidroxicumarina. Son de acción lenta, porque requieren una ingesta múltiple y seguida de entre 3 y 5 días.
Dicumarol (1941), warfarina (1948), cumacloro (1950), cumafurilo (1952), cumatetralilo (1956).
1.2.2 Indandionas
Anticoagulantes de primera generación que surgieron a raíz de la investigación de las warfarinas en la década de 1950.
Difacinona (1952), pindona (1953), clorofacinona (1961), valona.
1.2.3 Superwarfarinas
Como resultado de la resistencia a los anticoagulantes de primera generación, surgieron en la década de 1970 compuestos anticoagulantes de dosis única.
Difenacum (1975), brodifacum (1978), bromadiolona (1976), flocumafeno (1984), difetialona (1986).
2. INSECTICIDAS ORGÁNICOS SINTÉTICOS
2.1 ORGANOCLORADOS
Familia de compuestos formada por hidrocarburos clorados que, además de cloro, en su estructura pueden tener además oxígeno y/o azufre. En general son compuestos poco solubles en agua y muy solubles en disolventes orgánicos. Además poseen baja presión de vapor, una elevada estabilidad química y una elevada resistencia al ataque de microorganismos. Esto los convierte en compuestos más persistentes en el medio y más bioacumulables en los organismos vivos.
2.1.1 Aromáticos clorados, difenil alifáticos
También se los puede clasificar como compuestos derivados el clorobenceno, el cual actúa como producto intermedio para obtener colorantes e insecticidas.
DDT (1939, 1944 US Patent), dicofol, etilán, clorobenzilato, metoxicloro (descrito en 1944),
2.1.2 Otros aromáticos clorados
hexaclorobenceno (HCB, perclorobenceno), paradiclorobenceno (descrito en 1912), naftaleno clorado (descrito en 1901, 1933 US Patent), ortodiclorobenzeno (descrito en 1954), pentaclorofenol (1948).
2.1.3 Cicloalcanos clorados
Hexaclorociclohexano (HCH, hexacloruro de benceno, 1936), lindano (isómero gamma-hexaclorciclohexano, 1942).
2.1.4 Ciclodiénicos clorados
Aldrín (1948, 1953 US Patent), clordano (1945, 1952 US Patent), clordecona (1958), dieldrín (descrito en 1948 1954 US Patent), endosulfán (descrito en 1956, 1961 US Patent), endrín (descrito en 1951, 1954 US Patent), heptacloro (descrito en 1949, 1951 US Patent), mirex (1954).
2.1.5 Terpenos clorados
Canfenos clorados: toxafeno (canfleclor, 1947, 1951 US Patent) y clordecona. Estrobano (1951).
2.2 ORGANOFOSFORADOS
2.2.1 Alifáticos
Primeros compuestos organofosforados comercializados. Los hidrocarburos alifáticos son compuestos orgánicos formados por átomos de carbono e hidrógeno formando cadenas. En los organofosforados hay un átomo de fósforo que hace de nexo.
TEPP (1946), triclorfón (1950s), monocrotofós, dimetoato, oxidemetonmetilo, dicrotofós, disulfotón, diclorvós (DDVP, sintetizado en 1948, 1960 US Patent), mevinfós, metamidofós, acefato (1973 US Patent), malatión (descrito en 1949, 1951 US Patent), propetamfós .
2.2.2 Derivados fenílicos
Los compuestos organofosforados de esta clase son más complejos, ya que contienen un anillo de benceno en su estructura.
Paratión (1947), paratión metílico, profenofós, sulprofós, yodofenfós, isofenfós, fenitrotión (1959), fentión (1958), tetraclorovimfós, famfur.
2.2.3 Derivados heterocíclicos
Los compuestos organofosforados de esta clase están compuestos por un anillo en el cual uno de sus átomos es diferente al de carbono.
Azametifós (1960s), azinfos-etilo, azinfos-metilo, clorpirifós (1964 US Patent), clorpirifós-metílico, diazinón (descrito en 1953, 1956 US Patent), fosmet, fosalona, isazofós, isoxatión (1970), metidatión, metil pirimifós (1967).
2.3 CARBAMATOS
Los carbamatos son compuestos orgánicos derivados del ácido carbámico.
Carbarilo (1956, 1959 US Patent), bendiocarb (1968 US Patent), metomilo (1966), carbofurán (1965 US Patent), aldicarb, oxamilo, tiodicarb, metiocarb, propoxur (1959, 1963 US Patent), bendiocarb, isoprocarb, carbosulfán, aldoxicarb, promecarb, fenoxicarb, pirimicarb, indoxacarb (2000), alanicarb, furatiocarb, ditiocarbamatos (descritos en 1943, 1954 US Patent).
2.4 PIRETROIDES
Los piretroides son compuestos sintéticos desarrollados a partir de la investigación sobre las piretrinas naturales.
2.4.1 Primera generación
Fue desarrollado a partir de la piretrina natural cinerina I. Es una mezcla de muchos isómeros ótpicos. No es más potente ni estable que las piretrinas y es rápidamente degradado por la luz solar.
Aletrina (1949, 1956 US Patent).
2.4.2 Segunda generación
Los compuestos de esta generación incrementan su capacidad de derribo (knockdown) entre 10 y 50 veces respecto a los de primera generación. Pero no se mejora su estabilidad frente a la luz solar.
Tetrametrina (1965), resmetrina (1967), bioresmetrina (1967), bioaletrina (1969), fenotrina (1969 US Patent).
2.4.3 Tercera generación
Esta generación de piretroides llega en la dácada de 1970. Son compuestos mucho más estables frente a la luz solar.
Fenvalerato (1972), permetrina (descrito en 1973, 1974 US Patent).
2.4.4 Cuarta generación
Son compuestos más potentes y estables que los anteriores.
Bifentrina, lambda-cihalotrina, cipermetrina (1974), ciflutrina (1987), deltametrina, empentrina (1983), esfenvalerato, fenpropatrina, flucithrinato, fluvalinato, praletrina, teflutrina, tralometrina, zeta-cipermetrina, acrinatrina, imiprotrina (1998), gamma-cihalotrina, proflutrina (2004).
2.5 NEONICOTINOIDES
Son compuestos sintéticos derivados de la nicotina.
Imidacloprida (1986), acetamiprida (199?), tiametoxan (199?), clotianidina (199?), dinotefurano, tiacloprida (199?).
2.6 REGULADORES DEL CRECIMIENTO
2.6.1 Benzoilureas (inhibidores de la síntesis de la quitina)

Diflubenzurón (1982), hexaflumurón (1993), lufenurón (1990), novalurón (2001), triflumurón (1978).
2.6.2 Triazinas
Ciromazina (introducida en 1982).
2.6.3 Análogos de la hormona juvenil
Fenoxicarb (1980s), metopreno (1970s), piriproxifén (introducido en USA en 1996).
2.7 FENILPIRAZOLES
Fipronil (1990).
2.8 PIRROLES
Clorfenapir (1991).
2.9 OXIDIAZINAS
Indoxacarb (1996).
2.10 AMIDINO-HIDRAZONAS
Hidrametilnona (1977).
2.11 OTROS INSECTICIDAS
Aldehídos: formaldehído (usado desede 1890), metacetaldehído. Naftalina (descrito en 1882). Benzoato de bencilo.
3. INSECTICIDAS DE ORIGEN BIOLÓGICO
3.1. BOTÁNICOS
Pelitre (en 1858 se describen sus propiedades), nicotina (descrita en 1773), rotenona, alcanfor (sintetizado en 1903), limoneno, aceite de Neem, raíz de derris (descrita en 1924).
3.2 BACTERIAS
Bacillus thuringiensis (BT, 1963 US Patent), Bacillus sphaericus (1969 US Patent).
3.3 HONGOS
Beauveria bassiana.
3.4 AVERMECTINAS
Abamectina (1982 US Patent).
3.5 ESPINOSINAS
Spinosad.
4. INSECTICIDAS INORGÁNICOS
4.1 Compuestos arsenicales
Trióxido de arsénico (arsénico blanco), acetoarsenito de cobre (verde de París), arseniato de plomo, arseniato de cobre (descrito en 1867, 1939 US Patent), y arseniato de calcio (descrito en 1907).
4.2 Compuestos fluorados
Fluoruro de sodio (descrito en 1928), fluosilicato de bario, fluosilicato de sodio, criolita (descrito en 1929).
4.3 Otros
Fósforo blanco (descrito en 1845), mercurio, boro, talio, antimonio, selenio, ácido bórico (descrito en 1938), borato de sodio.
4.4 Polvos deshidratantes
Dióxido de silicio (anhídrido de silicio, ditaomita, gel de sílice, SiO2), óxido de magnesio (magnesia calcinada, MgO), carborundum.
5. FUMIGANTES
5.1 Utilizados como rodenticidas e insecticidas
Ácido cianhídrico (descritos en 1877), bromuro de metilo (descrito en 1938), dióxido de azufre (anhídrido sulfuroso), fosfina (fosfuro de hidrógeno, 1938 US Patent), monóxido de carbono, tetracloruro de carbono.
5.2 Utilizados como insecticidas
Cloropicrina, dióxido de carbono, fluoruro de sulfurilo (descrito en 1957).
6. OTROS
6.1 SULFAMIDAS
Sulfaquinoxalina, sulfisoxazol.
6.2 SINERGISTAS
Aceite de sésamo (1940 US Patent), sesamina (1942), butóxido de piperonilo (1949), MGK 264.
6.3 ATRAYENTES
(Z)-9-tricoseno (1971).
6.4 REPELENTES
6.4.1 Extractos
Geraniol (aceite de citronela), aceite de clavo, aceite de cedro, aceite de lavanda.
6.4.2 Sintéticos
Citriodiol (1974), dietiltoluamida (DEET, 1943), etohexadiol, ftalato de dimetilo, icaridin (1993), IR3535 (1973).
.
D.- CLASIFICACIÓN DE MATERIAS ACTIVAS POR ORDEN ALFABÉTICO
Clasificación alfabética de Ingredientes Activos Técnicos usados como biocidas para el control de plagas urbanas, tanto en el presente como en el pasado. Esta lista no es definitiva y está en proceso de revisión y de ampliación.
|
NOMBRE, NAME |
|
abamectina, abamectin La abamectina es un insecticida y acaricida formado por la mezcla de avermectina B1a (en más de un 80%), y avermectina B1b (el resto). La avermectinas son compuestos naturales obtenidos por la fermentación natural en laboratorio de la bacteria Streptomyces avermitilis, la cual fue investigada a partir de 1978 en los laboratorios de la compañía Merck Shrap and Dohme. La abamectina estimula la liberación de un neurotransmisor inhibidor que causa rápidamente la parálisis seguida de la muerte. La compañía alemana BASF puso en el mercado el gel insecticida Avert que contiene un 0’05% de abamectina. C48H72O14 (B1a) – C47H70O14 (B1b) – DL50 >10 mg/kg (oral rata) |
|
acetamiprida, acetamiprid, acetamiprid Compuesto insecticida nicotinoide que fue desarrollado por la compañía francesa Rhone Poulenc. Fue registrado por primera vez por la United States Environmental Protection Agency (US EPA) en 2002. C10H11ClN4 – DL50 314-417 mg/kg (oral rata, en agua) |
|
acetoarsenito de cobre, ver verde de París |
|
alcanfor, camphor Compuesto insecticida terpenoide. Se encuentra en la madera del árbol Alcanforero, Cinnamomum camphora, originario de Asia. Fue sintetizado totalmente por vez primera por Gustav Komppa en 1903. Es una sustancia antiséptica y se usa como repelente de la polilla. C10H16O – DL50 >1.310 g/kg (oral ratón) |
|
aldrín, aldrina, aldrin Compuesto insecticida organoclorado ciclodiénico que fue descubierto en 1948 por Julius Hyman, quien le puso su nombre en honor del químico alemán Kurt Alder. Velsicol Chemical y Shell Chemical se disputaron los derechos de fabricación. En 1974 en EUA fue suspendido su uso en agricultura. C12H8Cl6 – DL50 39-60 mg/kg (oral rata) |
|
aletrina, allethrin Primer compuesto insecticida piretroide que fue sintetizado en 1949 por Milton S. Schechter. Se trata de una forma sintética de las piretrinas, sustancias químicas naturales encontradas en en las flores de plantas del género Chrisantemum. La aletrina es una mezcla de 8 estereoisómeros. Algunos de ellos como d-aletrina, bioaletrina, esbiotrina o s-bioaletrina han sido aislados para usarse como insecticidas. C19H26O3 -DL50 900-2.150 mg/kg (oral rata) |
|
alfacipermetrina, alfametrina, alpha-cypermethrin, alphamethrin Compuesto insecticida piretroide. La alfacipermetrina es el isómero de la cipermetrina con el mayor rango insecticida. C22H19Cl2NO3 -DL50 474 mg/kg (oral rata) – insoluble en agua, soluble en acetona, metanol, xileno
|
|
alfaclorhidrina, alpha-chlorohydrin La alfaclorhidrina es el único compuesto esterilizante desarrollado. En la década de 1960 fue descubierto su posible uso en ratas macho, pero no fue hasta mediados de la década de 1970 que se empezó a experimentar. En EUA fue registrada la marca EPIBLOC en 1976 por Gametrics Ltd para comercializar la alfaclorhidrina. C3H7ClO2 -DL50 152 mg/kg (oral rata) |
| alfametrina, ver alfacipermetrina |
|
alfacloralosa, alpha chloralose La cloralosa, también llamado glucocloral, es un compuesto químico que resulta de combinar la glucosa con el cloral. Tiene dos isómeros, alfa y beta. Tan solo el primero tiene actividad rodenticida. Se usa para ratones y es de efecto rápido, ya que actúa entre 4 y 6 horas después de ser ingerido. Los cebos se preparan al 3%. Induce la hipotermia en ratones, ya que es una sustancia hipnótica y sedativa. C8H11Cl3O6 – DL50 400 mg/kg (oral rata), 200 mg/kg en ratón (oral ratón) |
|
antú (alfa-naftiltiourea), ANTU (alpha-naphthylthiourea) Durante la Segunda Guerra Mundial (1939-1945), debido a la disminución del transporte marítimo, en EUA faltaron raticidas como la escila roja, estricnina o sulfato de talio. Esto llevó a investigar otras sustancias para ser usadas como rodenticida. A principios de 1942 el Dr. Curt P. Richter experimentó con derivados de la tiourea con este fin. En 1945 publicó sus resultados. Se trata de un raticida de acción rápida contra la rata de alcantarilla, no así contra la rata negra. Las ratas desarrollan una rápida tolerancia. C11H10N2S – DL50 6 mg/kg (oral rata) |
|
arseniato de cobre cromatado (CCA), chromated copper arsenate (CCA) Conservante hidrosoluble de la madera muy utilizado desde mediados de la década de 1930. Conserva la madera contra hongos, insectos y barrenadores marinos. Representó una importante alternativa al uso de la creosota o del pentaclorofenol. Aporta a la madera impregnada una durabilidad de décadas. Tipo A (65 % CrO3, 18 % CuO y 16 % As2O5), Tipo B (35 % CrO3, 20 % CuO y 45 % As2O5), Tipo C (48 % CrO3, 18 % CuO y 34 % As2O5) |
|
arsénico blanco, ver trióxido de arsénico |
|
azametifós, azamethiphos Compuesto organofosforado desarrollado por Ciba-Geigy (conocido como Ciba-Geigy 18809). Fue comercializado en la década de 1970. En 2003, Novartis (heredera de Ciba-Geigy) decidió desprenderse de su negocio de organofosforados por razones de imagen. La compañía belga Belgagri defendió su inclusión en el Anexo I la directiva europea 98/8/EC para su uso como insecticida (TP18). C9H10ClN2O5PS – DL50 1.180 mg/kg (oral rata) |
|
bendiocarb, bendiocarb Compuesto insecticida sintético carbamato registrado descubierto en la década de 1960. C11H13NO4 – DL50 34-156 mg/kg (oral rata) |
| bifentrina, bifenthrin
Compuesto insecticida sintético piretroide que fue desarrollado por FMC Corporation de Filadelfia, EUA. Fue registrado por primera vez para su uso como biocida por la United States Environmental Protection Agency (US EPA) en 1985. C23H22ClF3O2 – DL50 53-210 mg/kg (oral rata) |
| bioaletrina, bioallethrin
Compuesto insecticida piretroide. La bioaletrina es un esteroisómero de la aletrina sintetizada en 1949 por Milton S. Schechter. La aletrina es una mezcla de 8 estereoisómeros. Algunos de ellos como d-aletrina, bioaletrina, esbiotrina o s-bioaletrina han sido aislados para usarse como insecticidas. C19H26O3 – DL50 900-2.150 mg/kg (oral rata) |
| bioresmetrina, bioresmethrin
Compuesto insecticida piretroide. La resmetrina está formada por cuatro isómeros. El más potente de estos recibe el nombre de bioresmetrina. La resmetrina fue registrada en EUA para su uso como insecticida en 1967, mientras que la bioresmetrina lo fue en 1973. C22H26O3 – DL50 4.639-6.091 mg/kg (oral rata) |
| brodifacum, brodifacoum
Anticoagulante cumarínico de segunda generación. Sorex Ltd de Londres comercializó en 1977 un raticida con esta sustancia que fue desarrollada en 1974 por Imperial Chemical Industries PLC. C31H23BrO3 – DL50 0’27 mg/kg (oral rata)
|
| bromadiolona, bromadiolone
Anticoagulante cumarínico de segunda generación. Rodenticida anticoagulante derivado de la cumarina creado por los laboratorios franceses Lipha SA y presentado en 1976. C30H23BrO4 – DL50 1’125 mg/kg (oral rata) |
| brometalina, bromethalin
Compuesto difenilamínico (neurotoxina) usado como rodenticida contra roedores resistentes a anticoagulantes como warfarina. Tras tomar la dosis letal, la rata muere entre 8-12 horas después. Desarrollado por la compañía farmacéutica Eli Lilly a principios de las década de 1980. C14H7Br3F3N3O4 – DL50 2 mg/kg (oral rata) |
| butóxido de piperonilo, piperonyl butoxide
Compuesto sinergista. Potente inhibidor de la familia de hemoproteínas Citocromo P450, la cual actúa sobre los mecanismos de detoxificación de muchos insecticidas impidiendo su metabolización. Con esto se consigue que la concentración de insecticida dentro del insecto sea mayor y permanezca más tiempo. Se usa en combinación de carbamatos, piretrinas y piretroides. Fue desarrollado en 1947 a partir del safrol, sustancia natural extraída de la raíz del sasafrás. C19H30O5 – DL50 4.570-12.800 mg/kg (oral rata)
|
| calciferol, calciferol
Los calciferoles (vitamina D) fueron usados por primera vez como rodenticidas en 1971 por Sorex Ltd de Londres con el producto Sorexa D que contenía 0’025% de warfarina y 0’1% de ergocalciferol. Dos calciferoles se usan como raticida: colecalciferol (vitamina D3) y ergocalciferol (vitamina D2). Esta vitamina produce hipercalcemia en el roedor cuando ingiere la dosis letal. Aumenta la capacidad de absorción de calcio a partir de la comida y moviliza el calcio de unas partes del cuerpo a otras, provocando cristalizaciones en los vasos sanguíneos, los riñones, la pared del estómago y los pulmones. En España, hacia 1978 el Instituto IBYS comercializó el producto llamado Ratonicida IBYS, el cual contenía warfarina y calciferol. A día de hoy, el uso del calciferol para elaborar rodenticidas en la Comunidad Europea está prohibido. C28H44O – DL50 30-100 mg/kg (oral rata) |
| carbarilo, carbaril, carbaryl
Primer compuesto insecticida sintético creado de la familia de los carbamatos. Fue desarrollado por Union Carbide a mediados de la década de 1950 e introducido en el mercado en 1956. Uno de los nombres más conocidos bajo el cual fue comercializado fue el de Sevin, muy utilizado en el agro español a partir de mediados de la década de 1960. La publicidad de la época anunciaba Sevin como lo ideal para control de la cochinilla de los olivos o para las orugas del algodón. C12H11NO2 – DL50 250-850 mg/kg (oral rata)
|
| carbonato de bario, barium carbonate
Compuesto rodenticida muy usado en EUA durante las décadas de 1930 y 1940. También usado en España. Es un polvo blanco, insoluble en agua. Se incorpora a cebos fabricados con harinas. BaCO3 – DL50 20-30 mg/kg (oral rata) |
|
carbofurán, carbofurano, carbofuran Compuesto insecticida carbamato con US Patent de 1965. Es uno de los insecticidas más tóxicos. Tiene además acción acaricida y nematicida. C12H15NO3 – DL50 8-14 mg/kg (oral rata) |
|
castrix, castrix Se trata de la crimidina, un derivado de la pirimidina usado como rodenticida. Castrix es el nombre comercial. Fue descubierto por los alemanes durante la II Guerra Mundial al faltarles el SO4Tl2. Tiene una muy elevada toxicidad oral tanto para el hombre como para los animales. A pesar de ello, se degrada rápidamente en el cuerpo y no ofrece fenómenos acumulativos. Por tanto, las ratas envenenadas con crimidina no son tóxicas para los predadores. Tiene un buen antídoto en el pento-barbitato sódico. A pesar de se m C7H10ClN3 – DL50 1.250 mg/kg (oral rata) |
|
cebolla albarrana, ver escila roja |
|
cifenotrina, cyphenothrin Compuesto insecticida piretroide de tipo II, ya que posee el grupo alfa ciano en su molécula. C24H25NO3 – DL50 318-419 mg/kg (oral rata) |
|
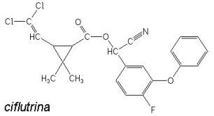
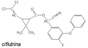
ciflutrina, cyfluthrin Compuesto insecticida piretroide de tipo II, ya que posee el grupo alfa ciano en su molécula. Registrado como biocida en EUA por la EPA en 1987. C22H18Cl2FNO3 – DL50 869 – 1.271 mg/kg (oral rata)
|
|
cihalotrina, cyhalothrin Compuesto insecticida piretroide desarrollado en 1977. Está compuesto por varios estereoisómeros. Se comercializa la lambda-cihalotrina (mezcla de varios isómeros) y la gamma-cihalotrina (formado por un solo estereoisómero). C23H19ClF3NO3 – DL50 79 mg/kg (oral rata macho para lambda-cihalotrina), 56 mg/kg (oral rata hembra para lambda-cihalotrina) |
|
cipermetrina, cypermethrin La cipermetrina es un compuesto insecticida piretroide que fue sintetizada en 1974 por Shell Co. Fue comercializada a partir de 1977. Está compuesta por 8 estereoisómeros. El más importante de estos es la alfacipermetrina. La cipermetrina se ha convertido en uno de los biocidas más usados. Piretroide de tipo II, ya que posee el grupo alfa ciano en su molécula. C22H19Cl2NO3 – DL50 250 mg/kg (oral rata en aceite de maíz) y 4.123 mg/kg (oral rata en agua) – insoluble en agua, soluble en acetona, metanol, xileno |
|
citronela, citronella El aceite de citronela es obtenido de las hojas y tallos de plantas del género Cymbopogon. Este aceite es repelente de insectos y su uso está documentado desde antiguo. En 1948 fue registrado su uso en EUA y es reconocido como un biopesticida no tóxico. DL50 >5.000 mg/kg (oral rata) |
|
cloralosa, ver alfacloralosa |
|
clorato de sodio, sodium chlorate Compuesto clorado inorgánico utilizado como herbicida no selectivo. En EUA fue utilizado también como rodenticida. ClNaO3 – DL50 1.200 mg/kg (oral rata) |
|
clordano, chlordane Compuesto insecticida organoclorado ciclodiénico que fue descubierto en los laboratorios de Velsicol Chemical Corporation, EUA, por Julius Hyman en 1944. Es muy líquido, denso, incoloro e inodoro. Diez veces más activo que el DDT con piojos y moscas, pero menos persistente. Se trata de una mezcla técnica de más de 140 compuestos. En 1978 fue suspendida su uso en agricultura en EUA. C10H6Cl8 – DL50 133-649 mg/kg (oral rata) – insoluble en agua, pero muy soluble en disolventes orgánicos |
|
clordecona, chlordecone, kepone Compuesto insecticida organoclorado ciclodiénico que fue introducido en el mercado hacia 1958. Fue prohibido su uso en EUA hacia 1976. C10Cl10O – DL50 126-132 mg/kg (oral rata) |
|
clorfenapir, chlorfenapyr Compuesto insecticida descubierto a principios de la década de 1990 por American Cyanamid Co de EUA. Posteriormente pasó a ser propiedad de BASF de Alemania. Pertenece a la clase de compuestos pirroles. C15H11BrCIF3N2O, – DL50 560 mg/kg (oral rata macho) 567 mg/kg (oral rata hembra) |
|
clorofacinona, chlorophacinone Anticoagulante indandiona creado por los laboratorios franceses Lipha SA. Es el derivado clorado de la difacinona. Considerado como el de acción más rápida, puede provocar una mortalidad hasta del 96% con una sola ingestión (con varias se puede llegar al 100%), mientras que en el resto de los anticoagulantes son necesarias varias ingestiones para llegar a un porcentaje alto de mortalidad. C23H15ClO3 – DL50 2 mg/kg (oral rata) |
|
clorpirifós, chlorpyrifos Compuesto organofosforado heterocíclico que fue esarrollado por Dow AgroScience de EUA y registrado para su uso en 1965. Ha sido uno de los insecticidas más usados en sanidad ambiental. En 2001 se prohibió en EUA en insecticidas de uso doméstico. En agosto de 2008 se prohibió en Europa su comercialización. C9H11Cl3NO3PS – DL50 95-270 mg/kg (oral rata)
|
|
clotianidina, clothianidin Insecticida neonicotinoide desarrollado por Takeda Chemical Industries en Japón en 1990. Esta materia activa está registrada por la Comisión Europea para su uso en sanidad ambiental, pero en España, por el momento, no hay ningún producto registrado con esta. C6H8ClN5O2S – DL50 500-2.000 mg/kg (oral rata) |
|
colecalciferol, cholecalciferol Los calciferoles (vitamina D) fueron usados por primera vez como rodenticidas en 1971 por Sorex Ltd de Londres con el producto Sorexa D que contenía 0’025% de warfarina y 0’1% de ergocalciferol. Como raticidas se usan dos calciferoles: colecalciferol (vitamina D3) y ergocalciferol (vitamina D2). Esta vitamina produce hipercalcemia en el roedor cuando ingiere la dosis letal. Aumenta la capacidad de absorción de calcio a partir de la comida y moviliza el calcio de unas partes del cuerpo a otras, provocando cristalizaciones en los vasos sanguíneos, los riñones, la pared del estómago y los pulmones. El uso del calciferol para elaborar rodenticidas en la Comunidad Europea está prohibido a día de hoy. C28H44O; DL50 30-100 mg/kg (oral rata) |
|
cumacloro, coumacloro, coumachlor Raticida anticoagulante cumarínico de primera generación que fue comercializado en 1950 por Geigy. Esta empresa creó la marca Tomorin para la comercialización de cebos con cumacloro. En 1984, Ciba-Geigy dejó de comercializar Tomorin. C19H15ClO4 – DL50 900 mg/kg (oral rata) |
|
cumafurilo, fumarina, tomarina, coumafuryl, fumarin, tomarin Anticoagulante cumarínico de primera generación desarrollado en Alemania y presentado en 1952. Muy parecida en estructura química a la Warfarina, pero no presenta el sabor amargo de esta. C17H14O5 – DL50 0’4 mg/kg (oral rata) |
|
cumatetralilo, coumatetralyl Anticoagulante cumarínico de primera generación que fue desarrollado por Bayer AG en 1956 y conocido con el nombre comercial de Racumín. C19H16O3 – DL50 16’5 mg/kg (oral rata) |
|
d-aletrina, d-allethrin, pynamin forte Compuesto insecticida piretroide. Esteroisómero de la aletrina sintetizada en 1949 por Milton S. Schechter. La aletrina es una mezcla de 8 estereoisómeros. Algunos de ellos como d-aletrina, bioaletrina, esbiotrina o s-bioaletrina han sido aislados para usarse como insecticidas. C19H26O3 – DL50 900-2.150 mg/kg (oral rata)
|
|
d-fenotrina, ver fenotrina |
|
deltametrina, decametrina, deltamethrin, decamethrin Compuesto insecticida sintético piretroide que fue sintetizado en 1974 por M. Elliott et alteri y comercializado a partir de 1978 para uso en agricultura. Registrado por vez primera en EUA por la Environmental Protection Agency en 1994. Es uno de los piretroides más usados en la actualidad. La deltametrina tiene 8 etereoisómeros, de los cuales se comercializa uno por tener características insecticidas. C22H19Br2NO3 – DL50 desde 30 mg/kg (en aceite) hasta 5000 mg/kg (en agua) para dosis oral en rata |
|
diazinón, diazinon Insecticida sintético organofosforado heterocíclico que fue desarrollado en 1952 por la compañía suiza Ciba-Geigy como sustituto del DDT. A partir de 1955 empezó su uso. Ha sido muy utilizado en todo el mundo. En Europa se prohibió su comercialización a partir del 1 de marzo de 2011. C12H21N2O3PS – DL50 300-850 mg/kg (oral rata) |
|
dicloro-difenil-tricloroetano (DDT), dichlorodiphenyltrichloroethane (DDT) Compuesto insecticida organoclorado sintetizado por primera vez en 1874 por Othmar Zeildler. En 1939 Paul Hermann Müller, de Geigy, descubrió sus propiedades insecticidas. Tuvo un uso muy intenso hasta que a partir de la década de los 70 se fue prohibiendo en distintos países. C14H9Cl5 – DL50 113 mg/kg (oral rata)
|
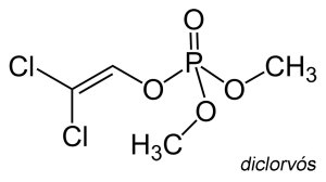
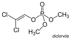
| diclorvós, vapona, DDVP, dichlorvos
Compuesto insecticida organofosforado alifático que fue sintetizado a finales de la década de 1940. Se descubrió que el triclorfón cristalino desprendía un vapor que era capaz de matar insectos. Ese vapor era diclorvós o fosfato de dimetil diclorovinilo. También es conocido como DDVP, que son las iniciales en inglés de dichlorovinyl dimethyl phosphate. Fue patentado por la Shell Oil Co en EUA en 1960. Prohibido en la Unión Europea a partir de diciembre de 2008. C4H7Cl2O4P – DL50 25-80 mg/kg (oral rata)
|
|
dicumarol, dicoumarol Primer rodenticida anticoagulante cumarínico patentado en 1941 e introducido en 1949 en el mercado inglés. Fue usado durante poco tiempo. C19H12O6 – DL50 250 mg/kg (oral rata) |
|
dieldrín, dieldrina, dieldrin Compuesto insecticida organoclorado ciclodiénico que fue descubierto en 1948 por Julius Hyman, quien le puso su nombre en honor del químico alemán Otto Diels. Velsicol Chemical y Shell Chemical se disputaron los derechos de fabricación. En 1974 en EUA fue suspendido su uso en agricultura. C12H8Cl6O – DL50 37-87 mg/kg (oral rata) |
|
dietiltoluamida (DEET), diethyltoluamide (DEET) Compuesto repelente desarrollado en 1943 para el ejército de USA. Actúa contra insectos y arácnidos. En 1957 aparecieron los primeros productos para el público en general. C12H17NO – DL50 3.000 mg/kg (oral rata)
|
|
difacinona, difaphacinone, diphacine, diphenadione Compuesto anticoagulante indandiona desarrollado en Estados Unidos. Las características de este anticoagulante fueron descritas en 1952. La clorofacinona es el derivado clorado de la difacinona. C23H16O3 – DL50 3 mg/kg (oral rata)
|
|
difenacum, difenacoum Primer rodenticida cumarínico de segunda generación, desarrollado en 1972 por Sorex Limited de Londres y comercializado en 1975. Fue creado para superar las resistencias a los anticoagulantes tradicionales como la warfarina. En España el primer raticida que incorporaba difenacum debió de ser Ratak. Introducido a principios de la década de 1980, fue desarrollado por Imperial Chemical Industries PLC y distribuido por Zeltia Agraria SA. C31H24O3 – DL50 1’8 mg/kg (oral rata) |
|
difetialona, difethialone Se trata de un anticoagulante cumarínico de segunda generación patentado en 1985 por los laboratorios franceses Lipha SA. C31H23BrO2S – DL50 0’56 mg/kg (oral rata) |
|
diflubenzurón, diflubenzuron Benzoilurea, compuesto inhibidor de síntesis de quitina (Chitin Synthesis Inhibitors, CSI), que hace imposible que la larva o ninfa pueda sintetizarla y, por tanto, mudar. En 1976 fue registrado como pesticida en EUA. C14H9ClF2N2O2 – DL50 4.640 mg/kg (ora rata).
|
|
dinotefurano, dinotefuran Compuesto insecticida de tercera generación de la familia de los neonicotinoides. Interrumpe el funcionamiento del sistema nervioso de los insectos al inhibir los receptores nicotínicos de la acetilcolina como agonista provocando la parálisis. Es un insecticida sistémico y translaminar con acción por contacto y por ingestión. Es absorbido fácilmente por la planta a través de las hojas y de las raíces, lo que permite controlar insectos chupadores, minadores y masticadores del tejido de las plantas. Desarrollado por Mitsui Chemicals Inc. en 1998 e introducido en 2002 en EUA. Autorizado en la UE como insecticida. C7H14N4O3 – DL50 2450 mg/kg (oral rata). |
|
dióxido de silicio, anhídrido de silicio Mineral más abundante en la corteza terrestre. Utilizado en polvo como deshidratante contra insectos. Remueven la cera de la cutícula de los insectos y ello produce el proceso de deshidratación. La diatomita o tierra de diatomeas es dióxido de silicio procedente de algas fosilizadas. El gel de sílice es una forma porosa y granular de dióxido de silicio fabricado de manera sintética. SiO2 |
|
empentrina, empentrín, empenthrin, vaporthrin Compuesto insecticida sintético piretroide que fue desarrollado por Sumitomo Chemical Co que fue presentado en 1983. Este biocida se suele usar contra la polilla de la ropa. C18H26O2 – DL50 3.500-5.000 mg/kg (oral rata) |
|
endosulfán, endosulfan Compuesto insecticida sintético organofosforado ciclodiénico que fue desarrollado por Hoechst AG (ahora Bayer CropScience) a principios de la década de 1950. En 1954 se aprueba su uso en EUA. Es altamente tóxico y es un disruptor endocrino. C9H6Cl6O3S – DL50 18-160 mg/kg (oral rata) |
|
endrín, endrina, endrin Compuesto insecticida organoclorado ciclodiénico que fue formulado por Shell Chemical Company en 1951. En la década de 1950, bajo licencia de Shell fue fabricado en España por Serpiol SA de Valencia. C12H8Cl6O – DL50 7-43 mg/kg (oral rata) |
|
epiclorhidrina, epichlorihidryn Compuesto organoclorado que se utiliza como disolvente para la celulosa, resinas y pinturas. Además se le dio uso como insecticida en el pasado. Se le atribuye capacidad de producir cáncer. Fue prohibido su uso como insecticida. C3H5ClO – DL50 175 mg/kg (oral rata hembra) y 282 mg/kg (oral rata macho) |
|
esbiol, ver s-bioaletrina |
|
esbiotrina, esbiothrin Compuesto insecticida sintético piretroide. La esbiotrina es un esteroisómero de la aletrina sintetizada en 1949 por Milton S. Schechter. La aletrina es una mezcla de 8 estereoisómeros. Algunos de ellos como d-aletrina, bioaletrina, esbiotrina o s-bioaletrina han sido aislados para usarse como insecticidas. C19H26O3 – DL50 900-2150 mg/kg (oral rata) |
|
escila roja, cebolla albarrana, red squill Raticida eficiente contra la rata de alcantarilla, pero inefectiva contra la rata negra y el ratón. Causa una parálisis cardiaca en la rata. Es poco peligroso para las personas y otros animales, ya que su principal manifestación es el vómito y los roedores no tienen capacidad de vomitar. Es de sabor amargo. Su uso es muy antiguo y se remonta a principios del siglo XIII. Se obtiene de los bulbos de la variedad roja de la Urginea maritima, planta nativa de la región mediterránea que también recibe el nombre de cebolla albarrana. A partir de la década de 1960 declinó su uso y en 1980 cesó la producción de esta sustancia a nivel mundial. El principio activo tóxico es la escilirosida. DL50 500 mg/kg (oral rata) |
|
escilirosida, scilliroside Componente tóxico de la cebolla albarrana, Urginea maritima, usado para elaborar raticidas. C32H44O12 – DL50 0’43 mg/kg (oral rata hembra) y 0’7 mg/kg (oral rata macho) |
|
esfenvalerato, esfenvalerate Compuesto insecticida piretroide. Isómero del fenvalerato, que fue un piretroide sintetizado a principios de la década de 1970. C25H22ClNO3; DL50 >458 mg/kg (oral rata) |
|
espinosad, spinosad Mezcla de compuestos conocidos como espinosinas que son obtenidos de la fermetación producida por bacterias de la especie Saccharopolyspora spinosa. Esta mezcla está compuesta por espinosina A y espinosina D en proporción de 17 a 3. Actúa tanto por ingestión como por contacto. Fue desarrollado para aplicar sobre larvas de lepidópteros. Fue descubierto a mediados de la década de 1980. El primer producto comercial apareció en 1997 en EUA. El espinosad fue desarrollado por Dow Chemical Co. C41H65NO10 (espinosina A) – C42H67NO10 (espinosina D) – DL50 3.600 mg/kg (oral rata). |
|
estricnina, strychnine Alcaloide. Raticida agudo extraído del fruto del árbol conocido como nuez vómica o árbol de la estricnina, Strychnos nux-vomica. La estricnina es un alcaloide que desde antiguo se usa como rodenticida. En el siglo XVII ya se vendía como veneno para animales. En 1817 se aisló la estricnina. C21H22N2O2 – DL50 2’2-6’4 mg/kg (oral rata) |
|
etofenprox, ethofenprox Compuesto insecticida piretroide. Molécula identificada por Mitsui Toatsu Chemicals en Japón al inicio de la década de los 80. Fue comercializada por esta misma compañía en 1987 bajo el nombre de Trebon para uso fitosanitario y formulado como emulsión concentrada. El etofenprox presenta una baja toxicidad en mamíferos respectoa a los piretroides más utilizados como la permetrina y la cipermetrina. Tiene amplio espectro de acción insecticida tanto en adultos como en larvas. Es acaricida. Tiene efecto de choque. Y además gran persistencia. C25H28O3 – DL50 >2.000 mg/kg (oral rata) |
|
fosalona, fosalón, phosalone Compuesto insecticida organofosforado desarrollado en la década de 1960 y prohibido en 2006 en la UE. C12H15ClNO4PS2 – DL50 82-205 mg/kg (oral rata macho), 90-170 (oral rata hembra). |
|
fenitrotión, phenitrothion Compuesto insecticida organofosforado descobierto por Y. Nishizawa hacia 1959. Fue comercializado por Sumitomo Chemical Co y Bayer AG en 1962. C9H12NO5PS – DL50 250-800 mg/kg (oral rata). |
|
fenotrina, fenotrín, d-fenotrina, d-fenotrín, phenothrin, sumithrin La fenotrina es un compuesto insecticida piretroide que fue sintetizado en 1969. La d-fenotrina fue registrado para su uso como insecticida en United States Environmental Protection Agency (US EPA) en 1976. C23H26O3 – DL50 >5.000 mg/kg (oral rata). |
|
fenoxicarb, fenoxycarb Compuesto insecticida del grupo de los carbamatos que actúa como inhibidor de la hormona juvenil. C17H19NO4 – DL50 >16.800 mg/kg (oral rata). |
|
fentión, fenthion Compuesto insecticida organofosforado que fue desarrollado por Bayer hacia 1958 y comercializado en 1960 bajo el nombre de Baytex. C10H15O3PS2 – DL50 180-298 mg/kg (oral rata). |
|
fenvalerato, fenvalerate Compuesto insecticica piretroide que fue sintetizado a principios de la década de 1990 y comercializado en EUA por primera vez en 1976. El esfenvalerato es un isómero del fenvalerato que es usado actualmente en varios productos para sanidad ambiental. C25H22ClNO3 – DL50 >451 mg/kg (oral rata). |
|
fipronil, fipronil Compuesto insecticida desarrollado por Rhône-Poulenc entre 1985 y 1987 y patentado en 1993. Desde 2003 la patente está en manos de BASF. Pertenece al grupo fenilpirazol. C12H4Cl2F6N4OS – DL50 97 mg/kg (oral rata). |
|
flocumafeno, flocumafén, flocoumafen Sustancia anticoagulante cumarínica de segunda generación desarrollada en 1984 por Sorex Limited de Londres para Shell International Chemical Company Limited. También es conocida esta sustancia por el código de Shell WL 108366 y por la marca de Shell ‘Storm’. C33H25F3O4 – DL50 0’25 mg/kg (oral rata). |
|
flufenoxurón, flufenoxuron Compuesto insecticida inhibidor de la síntesis de quitina que hacen imposible que la larva o ninfa pueda sintetizarla y, por tanto, mudar. Insecticida descubierto por M. Anderson et alteri en 1986. Fue evaluado por Shell Research y comercializado por American Cyanamid, compañía que pasó a manos de BASF AG. En la actualidad el flufenozurón está incorporad al insecticida Tenopa comercializado por BASF. Benzoilurea, inhibidor de síntesis de quitina (Chitin Synthesis Inhibitors, CSI) C21H11ClF6N2O3 – DL50 >3.000 mg/kg (oral rata). |
|
fluoracetamida sódica, compuesto 1081, fluoracetamide, compound 1081 Compuesto organofluorado desarrollado durante la Segunda Guerra Mundial (1939-1945), debido a la disminución del transporte marítimo, cuando en EUA faltaron raticidas como la escila roja, estricnina o sulfato de talio. Esto llevó a buscar otras sustancias. A este veneno se le asignó el número de 1081 con el que fue catalogado. C2H4FNO – DL50 4-15 mg/kg (oral rata). |
|
fluoracetato de sodio, compuesto 1080, sodium fluoracetate, compound 1080 Compuesto insecticida organofluorado. El monofluoracetato fue sintetizado por vez primera en Bélgica en 1896 y patenteado en 1927 como protector contra las polillas. Durante la Segunda Guerra Mundial (1939-1945), debido a la disminución del transporte marítimo, en EUA faltaron raticidas como la escila roja, estricnina o sulfato de talio. Esto llevó a buscar otras sustancias. En 1942 fue descrito el uso del monofluoracetato como rodenticida. A este veneno se le asignó el número de 1080 con el que fue catalogado. Fue usado para proteger las tropas aliadas del Pacífico y, en 1945, fue permitido su uso público como rodenticida. Fue prohibido en este país en 1972. NaFC2H2O2 – DL50 1’7 mg/kg (oral rata) – solubilidad en agua (111 g/dL a 25C), metanol (5 g/dL), etanol (1.4 g/dL), acetona 0.04 g/dL). |
|
fluoruro sódico, sodium fluoride En 1896 varios compuestos del flúor como el fluoruro sódico fueron patentados en Inglatera para el control de insectos. NaF – DL50 52 mg/kg (oral rata). |
|
fosacetim, phosacetim, gophacide Compuesto sintético organofosforado usado como rodenticida. Fue desarrollado en Alemania por Bayer bajo el nombre Bayer 38819. Es altamente tóxico. Potente inhibidor de la acetil-colinesterasa. Fue probado como rodenticida en la década de 1960. En inglés recibe el nombre de gophacide, puesto que fue registrado primero a mediados de la década de 1960 para combatir los gophers, roedores endémicos de América. C14H13Cl2N2O2PS – DL50 4-8 mg/kg (oral rata). |
|
fósforo amarillo, fósforo blanco, yellow phosphorus, white phosphorus El fósforo puro tiene un color blanquecino, aunque cuando es vendido para el comercio, suele tener un color amarillo. Razón por la que se le puede llamar fósforo blanco o fósforo amarillo. Es una sustancia corrosiva que daña todos los tejidos con los que entra en contacto, tanto la piel como la capa intestinal. P – DL50 1 mg/kg (oral rata) siendo más tóxico si se disuelve en alcohol, grasas o aceite. |
|
fosfuro de zinc, zinc phosphide Sustancia empleada como raticida desde antiguo. Los primeros cebos raticidas comerciales fueron elaborados con fosfuro de zinc. A las ratas parece que les gusta el sabor fuerte y el olor a fósforo. Es un raticida que causa una intoxicación aguda. Está prohibido su uso en Europa, aunque no en otras zonas. Zn3P2 – DL50 40 mg/kg (oral rata). |
|
foxim, phoxim Compuesto insecticida organofosforado desarrollado por Bayer en la década de 1960. Usado en España hasta agosto de 2008 en productos insecticidas como Blattanex DP3, 06-30-00885(-HA), de Bayer. C12H15N2O3PS – DL50 >1.000 mg/kg (oral rata). |
|
gliftor, gliftor Compuesto rodenticida usado ampliamente en Rusia y China. Se empezó a utilizar a principios de la década de 1970. C3H6ClFO·C3H6F2>O – DL50 96 mg/kg (oral rata). |
|
heptacloro, heptachlor Compuesto insecticida organoclorado derivado del ciclodieno introducido hacia 1949. La compañía Velsicol Chemical Corporation de Chicago fue la mayor empresa productora a escala mundial. En 1997 anunció el cese de su producción. C10H5Cl7 – DL50 40-162 mg/kg (oral rata). |
|
hexaclorobenceno, HBC, hexachlorobenzene Compuesto insecticida organoclorado introducido en 1945 como fungicida para las semillas de cultivo. Fue prohibido su uso en EUA en 1966. C6Cl6 – DL50 10.000 mg/kg (oral rata). |
|
hexaclorociclohexano (HCH), hexachlorocyclohexane Compuesto insecticida organoclorado sintetizado por vez primera en 1825 por M. Faraday. Pero no fue hasta 1936 que Bender no descubriera las propiedades insecticidas del HCH. En 1943 se descubrió que solo el isómero gamma, conocido como lindano, tenía propiedades insecticidas. C6H6Cl6 – DL50 100 mg/kg (oral rata).
|
|
hidrameltilnona, hydramethilnon Compuesto insecticida desarrollado por American Cyanamid Company hacia 1977. En agosto de 1980 fue registrado por la US Environmental Protection Agency en agosto de 1980 para combatir las hormigas de fuego bajo el nombre comercial de Amdro. C25H24F6N4 – DL50 1.100–1.300 mg/kg (oral rata). |
|
imidacloprida, imidacloprid Compuesto insecticida nicotinoide sintetizado en 1986 por Bayer en Japón. Desarrollado para el control de insectos, fue el primer compuesto de los llamados neonicotinoides. Fue registrado por primera vez en Inglaterra en 1993. C9H10ClN5O2 – DL50 424-474 mg/kg (0ral rata).
|
|
indoxacarb, indoxacarb Compuesto insecticida desarrollado en la década de 1990 por la compañía química E. I. du Pont de Nemours and Company (DuPont). Registrado por la US EPA en octubre de 2000. Fue el primer insecticida que se registra en la Unión Europea bajo la nueva Directiva de Biocidas. Pertenece a la familia de las oxadiazinas. Actúa mediante el bloqueo de los canales de sodio en el sistema nervioso y causa temblores leves, el cese de la alimentación y la muerte a las dos horas. Con este biocida, la compañía DuPont fabrica el gel Advion contra cucarachas y hormigas. Pertenece a la clase de las oxadiazinas. C22H17ClF3N3O7 – DL50 179 mg/kg (oral rata macho), 843 mg/kg (oral rata hembra) |
|
isoprocarb, isoprocarb Compuesto insecticida carbamato. C11H15NO2 – DL50 450-500 mg/kg (oral rata). |
|
isoxation, isoxathion Compuesto insecticida organofosforado derivado del isoxazol que fue desarrollado por Sankyo Cehmical Co de Japón y reportado en 1970. Actúa por contacto o por ingestión inhibiendo la acción de la acetilcolinesterasa. Framex Gel de Massó contenía esta materia activa insecticida. C13H16NO4PS – DL50 112 mg/kg (oral rata). |
| lambda-cihalotrina, lambda-cyhalothrin
Mezcla de isómeros del piretroide cihalotrina comercializada en la década de 1980. C23H19ClF3NO3 – DL50 79 mg/kg (oral rata macho), 56 mg/kg (oral rata hembra). |
|
lindano, gamma-hexaclorociclohexano, lindane Compuesto insecticida organoclorado. Isómero gamma aislado del HCH-técnico (hexaclorociclohexano-técnico) que se empezó a aislar a gran escala a principios de los años 50. gamma-C6H6Cl6 – DL50 88 mg/kg (oral rata). |
|
malatión, malathion Compuesto insecticida organofosforado alifático que fue desarrollado por American Cyanamid Company. Fue registrado para su uso en agricultura en EUA en 1956. C10H19O6PS2 – DL50 5.400 mg/kg (oral rata macho) 5.700 mg/kg (oral rata hembra). |
|
metil pirimifós, pirimiphos-methyl Compuesto insecticida organofosforado de amplio espectro y con buen efecto de choque. Actúa rápidamente y tiene una corta persistencia. El agua lo degrada rápidamente. Fue desarrollado hacia 1967 por Imperial Chemical Industries (ICI). Fue registrado por primera vez en 1978 en EUA para su uso agrícola en el maíz y en el sorgo. Es uno de los insecticidas utilizados contra el vector de Mal de Chagas. C11H20N3O3PS – DL50 1.300 mg/kg (oral rata). |
|
metopreno, methoprene Insecticida inhibidor del crecimiento desarrollado por Zoecon Industries a principios de 1970. El metopreno está formado por dos isómeros el s-metopreno y el r-metopreno, teniendo el primero una mayor actividad insecticida. En 1975 el metopreno fue registrado para uso insecticida por la EPA. Diez años más tarde, en 1985, fue registrado el s-metopreno por la misma agencia de protección ambiental. Impide el desarrollo de los estadios inmaduros y hace que los huevos no eclosionen. No funciona con los insectos adultos. No funciona contra las garrapatas y ácaros. Aplicado directamente sobre los animales se descompone fácilmente pues no es resistente a la luz ultravioleta. Se usa junto a un plaguicida adulticida para el control de pulgas. Compuesto insecticida análogo de hormona juvenil (Juvenile Hormone Analogues, JHA). C19H34O3 – DL50 34.600 mg/kg (oral rata). |
|
metomilo, methomyl Compuesto insecticida carbamato desarrollado por la multinacional química E.I. du Pont de Nemours and Companya mediados de la década de 1960. En octubre de 1968, esta misma compañía registró en EUA su uso como insecticida. C5H10N2O2S – DL50 32 mg/kg (oral rata). |
|
metoxicloro, methoxychlor Compuesto insecticida organoclorado descrito en 1945. De origen suizo, deriva del DDT al sustituir los cloros de los anillos bencénicos por el radical metoxi (CH3O). C16H15Cl3O2 – DL50 5.000-6.000 mg/kg (oral rata). |
|
MGK 264, MGK 264 (N-Octyl bicycloheptene dicarboximide) Ingrediente común en muchos insecticidas. Es un sinergista que potencia la acción insecticida de los piretroides. Actualmente no se usa. C17H25NO2 – DL50 2.800 mg/kg (oral rata). |
|
mirex, mirex Compuesto insecticida organoclorado ciclodiénico que fue introducido en el mercado hacia 1954. Es uno de los insecticidas organoclorados más estables. La EPA prohibió su uso en EUA en diciembre de 1977. C10Cl12 – DL50 600 mg/kg (oral rata). |
|
naftalina, alquitrán blanco, naphthalene Naftalina es el nombre comercial del naftaleno, el cual se obtiene a partir del alquitrán de hulla, el cual contiene aproximadamente un 10%. Es un sólido blanco que se volatiliza fácilmente. Usado tradicionalmente para ahuyentar polilla de la ropa. C10H8 – DL50 1.110-9.430 mg/kg (oral rata) – muy poco soluble en agua. |
|
norbomida, norbomide Sustancia tóxica que bloquea la entrada de calcio y posee actividad vasoconstrictora selectiva en las arterias periféricas de ratas. No actúa de la misma manera contra ratones. En 1964, Roszkowski, Poos y Mohrbacher estudiaron su poder raticida como alternativa a la warfarina, ya que se había encontrado resistencia a este primer anticoagulante en 1959 en Gales. Fue introducido por McNeil Laboratories Inc C33H25N3O3 – DL50 15 mg/kg (oral rata macho), 5 mg/kg (oral rata hembra). |
|
paradiclorobenceno (PDCB), paradichlorobenzene Insecticida usado para el control de polillas. Sus vapores penetran en el insecto a través de los espiráculos durante la respiración. C6H4Cl2 – DL50 500 mg/kg (oral rata). |
|
paratión, parathion Compuesto insecticida organofosforado que fue desarrollado por Gerhard Schrader para IG Farben en la década de 1940. Fue introducido en la agricultura en 1947. En 1948 fue registrado en EUA. Muy tóxico. C10H14NO5PS – DL50 2-30 mg/kg (oral rata).
|
|
pelitre, piretro, pyrethrum Mezcla de compuestos orgánicos que se encuentran en las flores de la planta llamada pelitre, Chrisantemum cinerariaefolium, también conocida como piretro. En la China del 1000 AC ya se conocía el su uso de esta planta como insecticida. Aunque es a partir del siglo XIX que se extendió su uso. Se cree que llegó a Europa desde Persia a través de la ruta de la seda. La primera mención del cultivo de Chrysanthemum cinerariaefolium data de 1847 en la región de Dalmacia. El polvo de Dalmacia fue vendido en las farmacias europeas durante la segunda mitad de siglo XIX. En España parece que se empezó a cultivar en Jaca de la mano del empresario francés Antonio Caubet. Sus ácidos, crisantémico y pirétrico, forman la cinerina, la piretrina y la jasmolina. Cada uno de los componentes posee un característico efecto insecticida. Es totalmente biodegradable y natural. |
|
pentaclorofenato de sodio, sodium pentachlorophenate Sal sódica del pentaclorofenol, muy usada a partir del decenio de 1930 como protector de la madera. C6Cl5ONa – DL50 126 mg/kg (oral rata). |
|
pentaclorofenol, pentachlorophenol Introducido a finales del decenio de 1930 por la compañía Dow Chemical de EUA. Fue muy usado en la industria de la madera como protector contra hongos e insectos. Con el tiempo se usó también como herbicida, alguicida y desinfectante. Fue muy empleado en tratamientos curativos contra agentes xilófagos como hongos, carcoma y termitas. Por su toxicidad para las personas, a partir de la década de 1980 fue restringiéndose su uso y comercio. Junto a este compuesto se usaron sus sales y sus ésteres, como el pentaclorfenato de sodio y el tetraclorofenato de cinc. C6HCl5O – DL50 27-211 mg/kg (oral rata). |
|
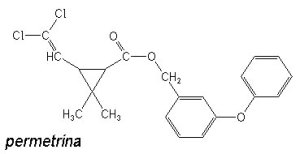
permetrina, permethrin Compuesto insecticida piretroide que fue registrado en EUA en 1979 para su uso sobre algodón. C21H20Cl2O3 – DL50 430-4.000 mg/kg (oral rata). |
|
pindona, pival, pivaldiona, pindone, pival Compuesto rodenticida anticoagulante indandiona. Sustancia sintetizada en 1937 y desarrollada como insecticida. Fue creado como una alternativa a las piretrinas. En 1953 fue estudiado su uso como raticida anticoagulante. Pivalyn y Pival fueron marcas comerciales. C14H14O3 – DL50 280 mg/kg (oral rata macho). |
|
piretrinas, pyrethrins, ver también pelitre Mezcla de compuestos orgánicos que se encuentran en las flores de plantas del género Chrisantemum. Sus ácidos, crisantémico y pirétrico, forman la cinerina, la piretrina y la jasmolina. Cada uno de los componentes posee un característico efecto insecticida. Es totalmente biodegradable y natural. En la década de 1940 fue sintetizada la aletrina. Se trata de un compuesto artificial cuya estructura es similar a las piretrinas naturales. Luego se fueron creando compuestos sintéticos similares a los que se les ha dado el nombre de piretroides. |
|
pirinurón, pyrunuron, pyriminyl Compuesto orgánico rodenticida extremadamente tóxico para las personas que fue denominado RH-787 en un principio. Patente de USA de 1976 (US 3994905, 3-Pyridylmethyl aryl urea rodenticides, Rohm And Haas Company). En 1975 comenzó su comercialización en EUA para uso tan solo por personal especializado. Y en 1979 la US EPA prohibió su venta. En la República Popular de China se utilizó en la década de 1990 para controlar plagas forestales de roedores. C13H12N4O3 – DL50 5-12 mg/kg (oral rata). |
|
piriproxifén, pyriproxifen Insecticida inhibidor del desarrollo desarrollado en 1983 por Sumitomo Chemical de Japón. Impide el desarrollo de los estadios inmaduros y hace que los huevos no eclosionen. No funciona con los insectos adultos. No funciona contra las garrapatas y ácaros. Actúa a concentraciones muy bajas y tiene un poder residual de varios meses pues no se descompone por efecto de la luz. Se emplea contra pulgas mezclado con adulticidas. En la actualidad es muy usado en control de plagas mezclado con un piretroide en productos larvicidas. El primer producto para sanidad ambiental comercializado en España fue Sumilarv que contenía 0’5% de esta materia activa. El producto era una marca registrada de Sumitomo Chemical que fue comercializado por Comercial. Análogo de hormona juvenil (Juvenile Hormone Analogues, JHA). C20H19NO3 – DL50 >5.000 mg mg/kg (oral rata). |
|
praletrina, prallethrin Compuesto insecticida piretroide. C19H24O3 – DL50 460-640 mg mg/kg (oral rata). |
|
propetamfós, propetamphos Compuesto insecticida organofosforado alifático desarrollado por Sandoz de Basilea a finales de la década de 1970. En 1979 esta compañía registró la marca Safrotin cuya materia activa era el propetamfós. C10H20NO4PS – DL50 75-119 mg/kg (oral rata). |
|
propoxur, propoxur Compuesto insecticida carbamato desarrollado hacia 1959 por la empresa química alemana Bayer AG. En EUA fue registrado por primera vez como biocida en 1963. C11H15NO3 – DL50 40-150 mg/kg (oral rata). |
|
reserpina, reserpine Alcaloide extraído de la raíz de la serpentaria (Rauwolfia serpentina), un arbusto originario de la India que era usado tradicionalmente para el tratamiento de la locura. En 1952 se consiguió aislar el alcaloide. Fue utilizado durante la década de 1970 para control de ratones. C33H40N2O9 – DL50 420 mg/kg (oral rata). |
|
resmetrina, resmethrin Compuesto insecticida piretroide. La resmetrina está formada por cuatro isómeros. El más potente de estos recibe el nombre de bioresmetrina. La resmetrina fue registrada en EUA para su uso como insecticida en 1967, mientras que la bioresmetrina lo fue en 1973. C22H26O3 – DL50 4.639-6.091 mg/kg (oral rata). |
|
s-bioaletrina, esbiol, s-bioallethrin, esbiol Compuesto insecticida piretroide. La s-bioaletrina es un esteroisómero de la aletrina sintetizada en 1949 por Milton S. Schechter. La aletrina es una mezcla de 8 estereoisómeros. Algunos de ellos como d-aletrina, bioaletrina, esbiotrina o s-bioaletrina han sido aislados para usarse como insecticidas. C19H26O3 – DL50 900-2.150 mg/kg (oral rata). |
|
s-metopreno, ver metopreno |
|
spinosad, ver espinosad |
|
silatrano, silatrane Compuesto rodenticida investigado a principios de la década de 1970 y utilizado en la Unión Soviética. Muy tóxico. 5-p-chlorophenyl silatrane. C12H16ClNO3Si – DL50 1-4 mg/kg (oral rata). |
|
strobane, estrobano, stroben, strobane Compuesto insecticida organoclorado similar al toxafeno, ya que se sintetiza a partir de la cloración de terpenos naturales. Introducido hacia 1951. A finales de la década de 1950 la compañía de insecticidas Cruz Verde lo incorporó en sus producto. En 1976 fue prohibido su uso en EUA. Terpeno policlorado. C10H9O17 |
|
sulfafurazol, ver sulfisoxazol |
|
sulfaquinoxalina, sulfaquinoxaline Sulfamida obtenida por el Dr. Max Tishler en los laboratorios de la compañía Merck & Co. Fue comercializada en la década de 1940. En la década de 1960 el raticida Muriton S de los laboratorios FAES de Bilbao incorporaron a la warfarina la sulfaquinoxalina para destruir las bacterias que producían vitamina K1, produciendo resistencia en ratas. También incorporó esta sulfamida el raticida Ratsul de Zeltia. C14H12N4O2S |
|
sulfato cálcico anhidro Desde hace siglos se usa yeso o cal viva para matar ratas. Para ello se mezcla a partes iguales harina y yeso. Se trata de un raticida que no genera residuos peligrosos. Hoy en día es un remedio eficaz y sencillo. SO4Ca |
|
sulfato de talio, thallium sulfate Todas las sales de talio son venenos de tipo acumulativo. Las más usadas han sido el sulfato y el acetato. El sulfato de talio es un veneno inodoro e insípido usado para exterminar ratas. Fue desarrollado como raticida hacia 1923 por Bayer en Alemania bajo el nombre de Zelio. Fue prohibido en 1975 en EUA por su gran toxicidad. Fue un raticida muy usado hasta la década de 1950 por la facilidad con que las ratas aceptaban los cebos impregnados con este veneno. La acción de este compuesto es lenta y se extiende, especialmente para la rata de alcantarilla, entre 1’5 y 6 días. Tl2SO4 – DL50 25 mg/kg (oral rata). |
|
sulfisoxazol, sulfafurazol, sulfisoxazole, sulfafurazole Sulfamida que incorporan los raticidas a base de warfarina para destruir las bacterias que producen vitamina K1 en el intestino de las ratas provocando la resistencia. En 1966 el raticida IBYS 152 S incorporó sulfisoxazol. C11H13N3O3S |
|
temefós, temefos, temephos El temefós es un compuesto insecticida organofosforado no sistémico que actúa por contacto e ingestión. Interfiere la transmisión de los impulsos nerviosos por inhibición de la colinesterasa. Se ha usado principalmente como larvicida para el control de dípteros con el nombre comercial de Abate, producto muy usado en todo el continente americano. Especialmente usado en países de este continente para control de larvas de Aedes aegypti, principal transmisor del dengue. Fue comercializado por American Cyanamid y luego por Basf. A partir de 2002 se empezó a restringir su uso en algunos países debido a la aparición de mosquitos resistentes. C16H20O6P2S3 – DL50 8.600 mg/kg (oral rata macho) y 13.000 mg/kg (oral rata hembra). |
|
TEPP, pirofosfato de tetraetilo , tetraethyl pyrophosphate Primer compuesto insecticida organofosforado que llegó a la agricultura en 1946. Es un plaguicida muy tóxico. Organofosforado alifático. C8H20O7P2 – DL50 5 mg/kg (oral rata). |
|
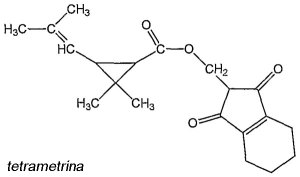
tetrametrina, tetramethrin Compuesto insecticida piretroide desarrollado hacia 1965 y registrado por primera vez en EUA en 1968 por Valent BioSciences Company y Sumitomo Chemical Corporation. Otra denominación de este compuesto es neopinamina. C19H25NO4 – DL50 >5.000 mg/kg (oral rata) – solubilidad en agua de 1.83 mg/L at 25 °C y de >2 g/100 mL en acetona, etanol, metanol, hexano y n-octanol
|
|
tiametoxam, thiamethoxam Compuesto insecticida neonicotinoide desarrollado por la compañía suiza Novartis (a partir del año 2000 cambió su nombre por Syngenta). Fue descubierto dentro de un programa de optimización de sobre neonicotinoides empezado en 1985. En 1997 fue introducido su uso en Nueva Zelanda. C8H10ClN5O3S – DL50 1.563 mg/kg (oral rata). |
|
toxafeno, toxaphene Compuesto insecticida organoclorado formado por la mezcla de unos 200 copuestos químicos orgánicos creado a partir de la cloración del canfeno (C10H16). Fue introducido en 1947 por la Hercules Powder Company y prohibido su uso en EUA en 1982. Terpeno policlorado. C10H10Cl8 – DL50 80-90 mg/kg (oral rata). |
|
triclorfón, trichlorfon, metrifonate Compuesto insecticida organofosforado registrado en EUA por el United States Department of Agriculture en 1955. C4H8Cl3O4P – DL50 560-630 mg/kg (oral rata). |
|
transflutrina, transfluthrin Compuesto insecticida piretroide. C15H12Cl2F4O2 – DL50 >5.000 mg/kg (oral rata). |
|
trióxido de arsénico, arsénico blanco, arsenic trioxide Compuesto rodenticida también conocido como anhídrido arsenioso. Algunos compuestos del arsénico se han usado desde hace siglos contra insectos, ratas, ratones y topos. El trióxido de arsénico es un veneno de acción aguda. Este compuesto fue el preferido por los envenenadores entre los siglos XVI y XIX, por lo que fue llamado polvo de sucesión. Es un polvo blanco casi insoluble en el agua. Se utiliza para la preparación de cebos contra roedores e insectos. As2O3 – DL50 13-25 mg/kg (oral rata). |
|
valona, valone, isoval Compuesto rodenticida derivado de la indandiona. Fabricado en EUA por Motomco Ltd. Insoluble en agua. Soluble en solventes orgánicos. Fue formulado en polvo de contacto. C14H14O3 – DL50 ? mg/kg (oral rata). |
|
verde de París, acetoarsenito de cobre, Paris green También conocido como verde de Schweinfurth. Descubierto en 1808 fue utilizado como pigmento para tintas. Se descubrió que era tóxico debido a la muerta de pintores que lo utilizaban. A partir de la década de 1860 se empezó a utilizar contra el escarabajo de la patata en EUA. Tiene gran actividad insecticida y fungicida. Se utilizó además como protector de la madera. C4H6As6Cu4O16 – DL50 22 mg/kg (oral rata). |
|
warfarina, cumafeno, zoocumarina, warfarin, zoocoumarin Compuesto rodenticida cumarínico anticoagulante descubierto en 1948. Durante su desarrollo era conocido como Componente-42 o WARf-42. Fue el segundo rodenticida de su clase después del descubrimiento del dicumarol. A pesar de que su intenso uso creó resistencias, hoy en día se siguen comercializando cebos con esta sustancia. C19H16O4 – DL50 58 mg/kg (oral rata).
|
|
yodofenfós, iodofenfos, iodofenphos Compuesto insecticida organofosforado introducido a finales de la década de 1970. Fue sintetizado por Ciba-Geigy con la clave C-9491. Esta empresa comercializó una gama de productos con esta materia activa bajo el nombre de Nuvanol. Para sanidad ambiental, en España se comercializó el Iodofenphos Gel al 0’25%. C8H8Cl2IO3PS – DL50 2.100-3.000 mg/kg (oral rata). |
























