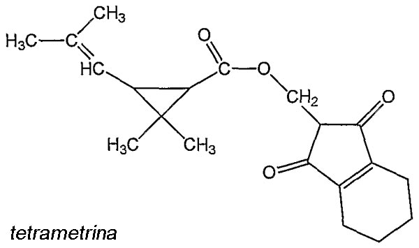
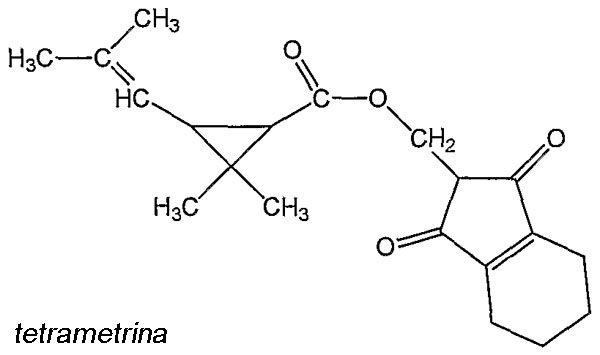
tetrametrina-formula Previous Next Publicado 06/01/2016 en 600 × 355 en Biocidas Me gusta Cargando...